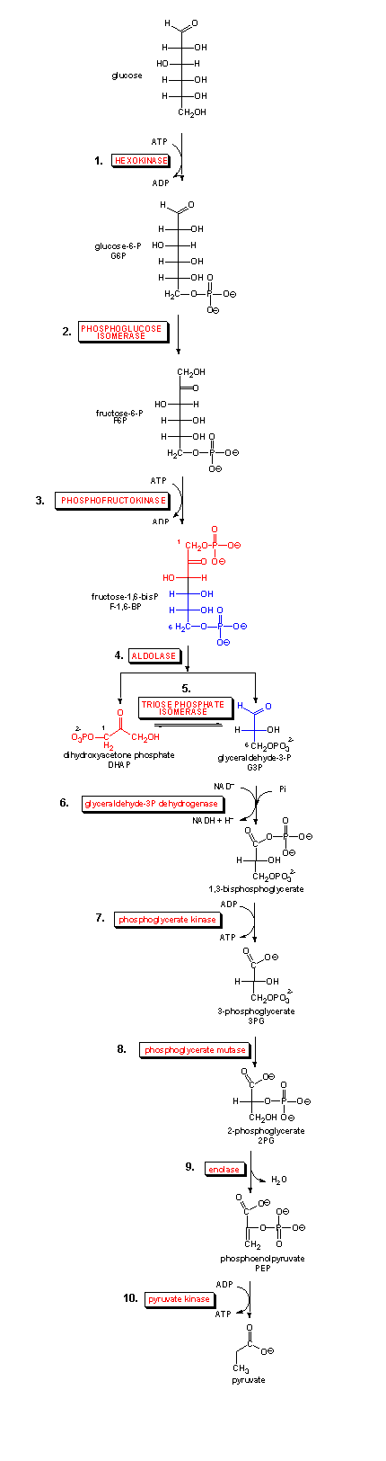
GLYCOLYSIS